Катя, живи! Необходима терапия CAR-T
4 февраля 2021
В рамках оказания помощи собрано средств
266 777 / 40 950 000
рублей
Благодарность
От Фонда помощи "География Добра"
Друзья, у нас непростые новости. Катю перевезли в Кёльн в надежде, что в ближайшие дни удастся дособрать оставшуюся сумму и начать терапию. Но, к сожалению, ее состояние настолько ухудшилось, что начать CAR-T-терапию в этом состоянии невозможно. Врачи продолжают бороться за Катину жизнь, но она практически не приходит в сознание - лимфома, по выражению врачей, «взорвалась» в организме, сильно поразив внутренние органы. Без высокодозной химии - Катя обречена. А при высокодозной химии нельзя отбирать клетки. Сбор остановлен. Ждем информации от врачей.
На 24 марта состояние тяжелое. Врачи каждый день меняют стратегию лечения в зависимости состояния. Лечение подобрано ещё больше чем на месяц перед тем как начать CAR-T. Мы продолжаем верить в Катю, молимся и надеемся только на лучшее.
27 марта 2020 года Кати не стало. Нам очень жаль, что болезнь оказалась сильнее и коварнее. БФ "География Добра" выражает искренние соболезнования семье Катюши. Этот светлый человек останется в нашем сердце. Скорбим вместе с вами.
Екатерина Шамилова, 31 год
Диагноз: агрессивная крупноклеточная лимфома (рак лимфатической системы)
Необходима терапия CAR-T в Университетской клинике г. Кёльн (Германия)
Катя - девушка-солнце, "крепкий орешек", и просто замечательный, творческий и светлый человек, который уже год борется за свою жизнь! В марте 2020 молодой маме поставили диагноз агрессивная крупноклеточная неходжкинская лимфома желудка (рак лимфатической системы). Слабость и плохое самочувствие, которые Катя ощущала после рождения ребенка, оказались одним из самых страшных заболеваний.
Катя прошла 4 курса химиотерапии в России, случился рецидив. Бой за жизнь продолжили еще три курса высокодозной химии, одна из которых завершалась трансплантацией стволовых клеток.
"Не прошло и месяца с конца облучений у меня начались дикие боли в боку. Врачи обнаружили метастазы в печени. Я продолжила лечение в Германии. И единственное, что может мне помочь сейчас - это car-t терапия. Говоря простым языком, у меня отберут лимфоциты, генномодифицируют их, и они сами начнут уничтожать лимфому. В России взрослым такая процедура не делается..."
Успехи новой технологии действительно впечатляют. На CAR Т-клеточную терапию хорошо отвечает 80-90% получающих ее больных острым лимфобластным лейкозом и лимфомами. Причем речь идет о самых трудноизлечимых пациентах, которым не помогают никакие стандартные методы! Для Кати - это реальный шанс выздороветь и вернуться к обычной жизни... к обычным радостям обнимать дочь, встречаться с друзьями, без страха смотреть в будущее, любоваться голубым небом, не видеть больше слез собственной мамы.
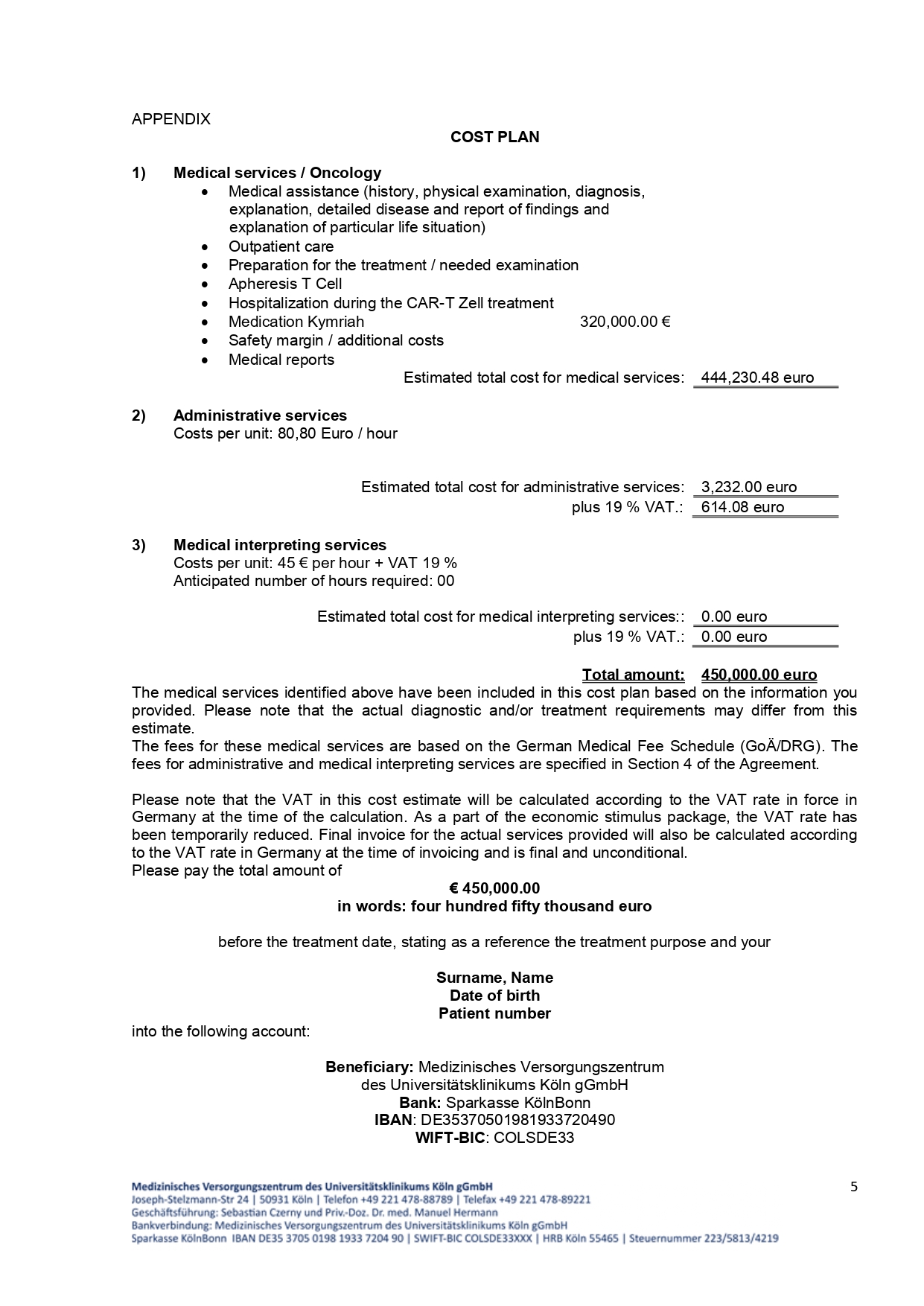
"Я очень хочу жить. Сумма для car-t терапии абсолютно неподъемная для нас - 420 тысяч евро, но я верю, что если вы поможете, то мы обязательно её соберём и я смогу жить, работать по любимой профессии, учить доченьку рисовать. Помогите, пожалуйста. Чем сможете..."
Мы очень просим вас откликнуться и спасти Кате жизнь! Сбор срочный. К лечению нужно приступить в течение ближайших 10 дней. Катюше очень нужна посильная помощь каждого!
На расчетный счет Фонда с 20 по 24 февраля поступили пожертвования для Кати от физических лиц в размере 4 000 рублей
Помощь учтена ко сбору. Спасибо каждому!
На расчетный счет Фонда с 12 по 16 февраля поступили пожертвования для Кати от физических лиц в размере 45 500 рублей
Помощь учтена ко сбору. Спасибо!
На расчетный счет Фонда поступили пожертвования для Кати:
ООО "Мир" - 10 000 рублей,
20, 100, 3000, 500, 400 рублей. Помощь учтена ко сбору. Спасибо!
Друзья, просим вас не останавливаться! Сбор идет также на личные реквизиты Катюши. У нас есть совсем мало времени, чтобы собрать остаток и внести депозит в клинику. Без полной оплаты счета начать лечение невозможно!
Список пожертвований
| 27.02.2021 | Анонимно | 1 400 Р | |
| 27.02.2021 | Фоменко Арина Анатольевна | 200 Р | |
| 25.02.2021 | Марина Андреевна Кошелева | 1 000 Р | |
| 23.02.2021 | Анонимно | Катюша, выздоравливай! | 400 Р |
| 23.02.2021 | Зудина Марина | 5 000 Р |
| Показать еще 5 |
